Physics References
Class Rules and Grading Policy
Lab Physics Curriculum Guide
Physics Glossary
Physics Concepts
Elevator Physics
Equations and Constants
METRIC PREFIXES 1
FUNDAMENTAL UNITS
METRIC PREFIXES 2
CONVERSION FACTORS 1
CONVERSION FACTORS 2
Motion Graphs
***Sample Table & Graph - Ramps***
***Sample Table&Graph - Free fall ***
Newton's Laws of Motion and Car Physics
Midterm Reference Equations
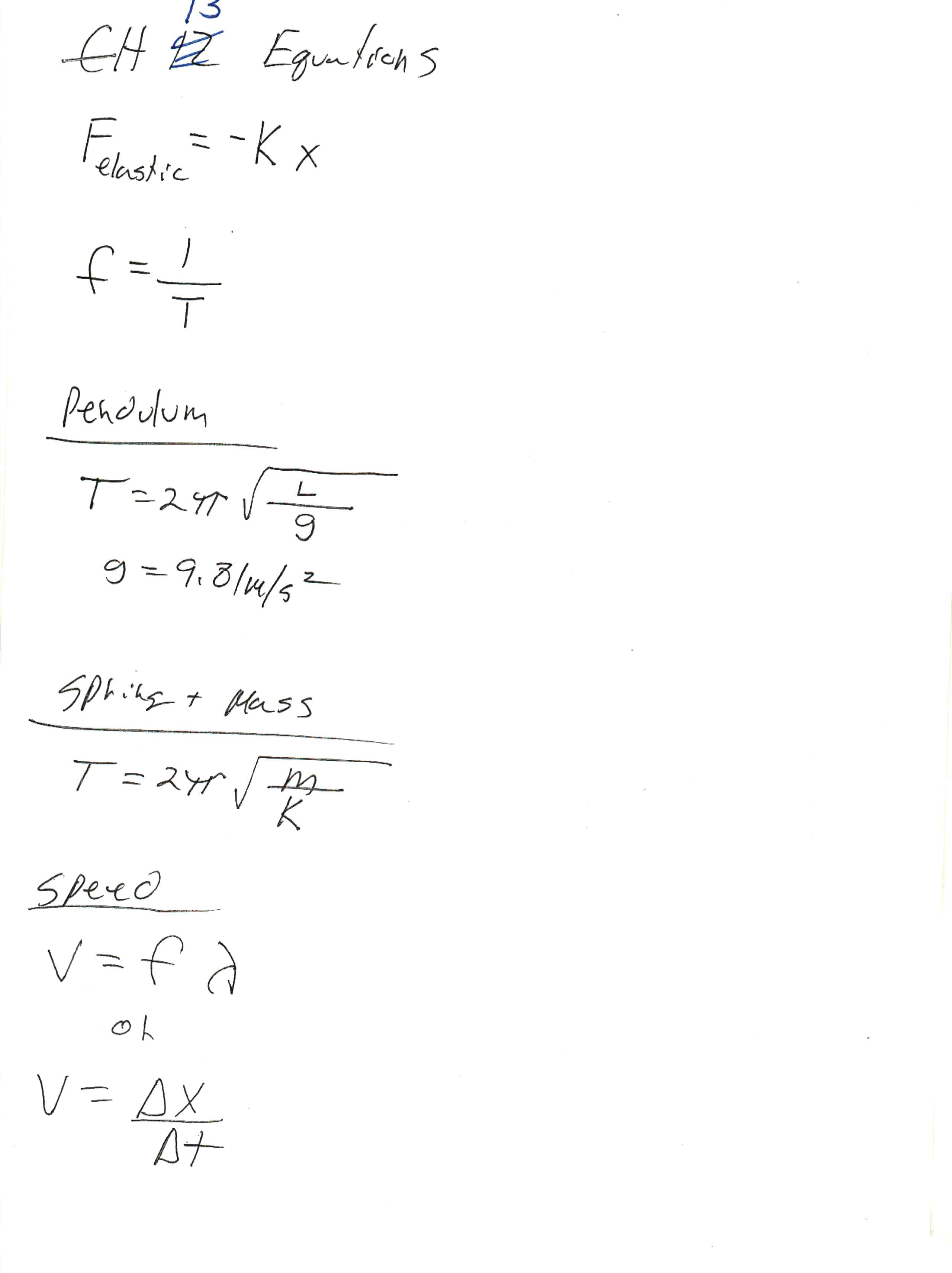
Equations for CH 13 Waves
Equations for CH 1
4
Sound
Equations for CH 1
5-16 Electrostatics
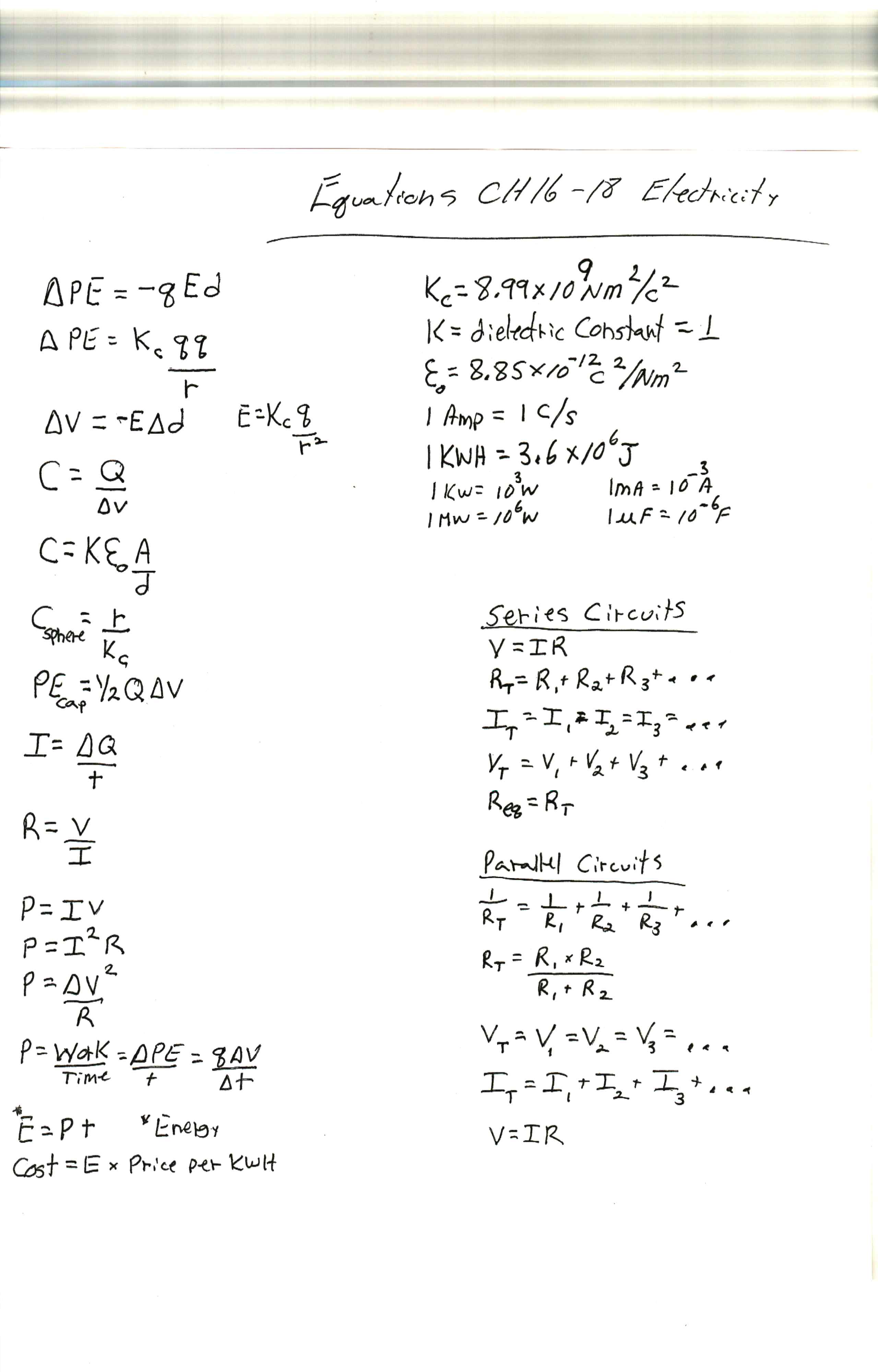
Equations for CH 1
7-18 Electric Circuits
Equations for CH 1
9 Magnetism
Equations for CH
22-25 Reflection and Refraction
Dr. Richard T. Malik
Marlboro High School
rmalik@frhsd.com
732-617-8393, ext. 6149
L
AB PHYSICS